金融号
  • 金融头条
  • 金融监管
  • 金融智库
  • 财经
  • 银行
  • 中小银行
  • 金融办
  • 曝光台
  • 文化

金融APP

登录 / 注册
退出登录
中国金融网络领袖
CHINA FINANCE NET 中国金融网
  • 首页
  • 焦点 · 分析
  • 央行
  • 金管总局
  • 证监会
  • 大型银行
  • 股份制银行
  • 金融处罚
  • 城商行
  • 农商行
  • 村镇银行
  • 金融科技
  • 金融研究

分享到微信朋友圈

5月份超6成QDII上涨 华宝广发诺安等有基金涨超10%

来源: 中国经济网  2022-06-06 10:07:06

关注金融网
  • 微博
  • QQ
  • 微信
  •   中国经济网北京6月6日讯 (记者 李荣 康博) 5月行情收官,QDII基金依然分化,统计数据显示,在有可比业绩的392只QDII基金(各类份额分开计算,下同)中,5月份有253只基金录得正收益,占比64.5%;有136只基金下跌,占比34.7%;另外有3只基金净值收平。 

      年初以来,在需求反弹、供应受限等多重因素影响下,大宗商品势头强劲,原油价格大幅拉升,相关基金业绩表现亮眼。5月份原油类QDII基金仍然维持领涨态势,15只单月涨幅超过10%的QDII基金均为原油类。 

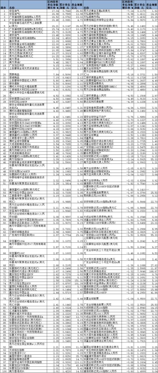
      其中,华宝基金旗下杨洋与周晶共同管理的华宝油气、华宝油气C分别以17.04%、16.98%的涨幅夺得5月份QDII基金涨幅榜冠军,两人共同管理的华宝标普石油天然气上游股票A(美元)单月涨幅也达16.21%。 

      广发基金旗下叶帅所独立管理的4只基金表现也很优异,广发道琼斯石油指数A人民币、广发道琼斯石油指数C人民币单月涨幅达16.52%、16.48%,分别排在涨幅榜第3名、第4名,广发道琼斯石油指数A美元现汇、广发道琼斯石油指数C美元现汇单月涨幅达15.74%、15.73%。 

      涨幅超过10%的基金还包括诺安基金旗下宋青管理的诺安油气,华宝基金旗下倪斌管理的华安标普全球石油指数A、华安标普全球石油指数C,嘉实基金旗下蒋一茜管理的嘉实原油,易方达基金旗下范冰、周宇管理的易方达原油A类人民币、易方达原油C类人民币、易方达原油C类美元汇、易方达原油A类美元汇。 

      此外,部分跟踪东京日经225指数的ETF在5月份也实现净值上涨,工银瑞信大和日经225ETF、华安日经225ETF、易方达日经225ETF、华夏野村日经225ETF分别涨4.61%、4.47%、4.40%、4.18%。 

      受益于德国、法国等欧洲主要指数的上扬,华安基金旗下跟踪法兰克福DAX指数、法国CAC40指数的ETF表现也不错,华安德国(DAX)ETF、华安国际龙头(DAX)ETF联接A、华安国际龙头(DAX)ETF联接C、华安法国CAC40ETF单月分别涨4.50%、4.22%、4.22%、3.36%。 

      反观跌幅榜,5月份136只下跌的QDII基金跌幅全部在10%以内,最高跌幅7.14%,居榜首的是某头部基金公司旗下黄金主题类基金,2只主投越南股市的QDII基金分别居跌幅榜第二、第三名。 

      值得关注的是,此前一度垫底的华泰柏瑞亚洲领导企业混合在5月份仍然表现欠佳,单月跌幅6.84%。该基金自去年四季度以来就重仓配置港股低估值个股,尤其是地产行业和券商行业,而截至今年一季度末,该基金的前十大重仓股分别是旭辉控股集团、中信证券、中金公司、星盛商业、中烟香港、凤祥股份、东方证券、碧桂园、中国海外发展、龙湖集团。 

      该基金的基金经理何琦在一季报中表示,其依旧很看好地产板块短期的beta行情。港股不同于A股,布局过于超前并不是好事,反而有可能成为“先驱”。可以看到三月份以来,A股的地产行业大幅上涨,但是港股的地产依旧表现不佳。何琦称其对于整个组合的配置依旧维持在地产,券商,加上部分基本面向好科技股和医药股。 

      今年一季度以来,港股市场持续回调,而在经历调整之后,港股的配置价值也引起基金经理激辩。 

      广发基金刘杰表示,港股在自身下行空间极为有限的背景下,整体可能将迎来在底部区域的逢低做多机会,一些外部的负面冲击虽然存在,但这也可能创造了低位布局的机遇。对于互联网板块,“支持平台企业健康发展”的提出,带动互联网板块显著反弹,后续进一步的具体支持举措也将有望继续推动港股互联网板块的估值修复。同时,在疫情形势好转后,消费等受疫情冲击的板块有可能迎来估值与盈利的双重提振。 

      事实上,不少明星基金经理一季度对港股科技股进行了加仓。张坤旗下的易方达亚洲精选一季度增持阿里77万股,重回第一大重仓;同时对腾讯、京东、美团等也均有增持。丘栋荣旗下的中庚价值领航一季度调仓幅度较大,最新第一大重仓股不再是兖州煤业股份而是美团,同时他还增持快手806.7万股。谢治宇旗下的兴全合宜一季度也大举增持快手,净买入623万股。 

    5月份QDII基金涨跌幅前100名 

    数据来源:同花顺(规模截止日期:2022年3月31日)


    更多精彩内容,点击下载 中国金融网APP 查看

    相关新闻
    • 7月份四成QDII正收益

      2022年08月03日10时18分
    • 10月份四成QDII正收益

      2022年11月03日09时37分
    • 3月份6成QDII基金亏损

      2021年04月06日09时55分
    • 3月份近7成QDII正收益

      2023年04月07日09时58分
    • 10月份六成QDII正收益

      2021年11月03日09时16分
    • 11月份近三成QDII涨逾20%

      2022年12月05日10时07分
    友情链接
    • 银行网
    • 中国金融网
    • 金融号
    • 微摄
    • 国家摄影
    • 简介
    • 投稿启示
    • 隐私保护
    • 联系我们
    • 广告服务
    • 友情链接
    • 品牌联盟
    • 编辑部:zjw@financeun.com
    • 媒体合作:774353721@qq.com
    • 机构合作部:1760607283@qq.com

    京ICP备07028173号 -1

    京公网安备11010202007075号

    经营许可证编号:京B2-20200983

    Copyright © 2002-2024 financeun.com Inc. All rights reserved.

    版权所有:中金网投(北京)资产管理有限公司 资产控股:亚洲金控投资有限公司

    ----------------------- 底部结束 ----------------------------->